Knobelecke für knifflige Knacknüsse

Wissenschaftliche Diskussion auf Gerstensaftbasis. Alle öffentlichen Themen, die sonst nirgends dazu passen, kommen hier rein.
Benutzeravatar
florianklachl
Beiträge: 5960
Registriert: Sa Nov 13, 2004 1:00 pm
Kontaktdaten:

Beitrag von florianklachl » Mo Jan 10, 2005 6:00 pm

Hier die zweite Knobelaufgabe:
(in Anlehnung an ein Beispiel aus der Thermodynamik)

Bacchus, der große römische goldbraune Biergott, wohnt in einem
abzählbar unendlichdimensionalem Raum. Versehentlich schüttet er
beim Biertrinken etwas Bier auf seine Wahrsagerkugel, die dabei
vollständig benetzt wird. Wieviel Bier ist verlorengegangen,
wenn die Kugel einen Durchmesser von 2km hat?

Zu gewinnen gibts diesmal ein kleines [OATZ] Überraschungsgimmick!

Benutzeravatar
version4x
Beiträge: 2531
Registriert: So Dez 05, 2004 1:00 pm
Kontaktdaten:

Beitrag von version4x » Mo Jan 10, 2005 6:04 pm

florianklachl hat geschrieben:Zu gewinnen gibts diesmal ein kleines [OATZ] Überraschungsgimmick!
lass mich raten: das [OATZ] kapperl? :D

wie dick ist die schicht mit der das bier die kugel benetzt?

Benutzeravatar
florianklachl
Beiträge: 5960
Registriert: Sa Nov 13, 2004 1:00 pm
Kontaktdaten:

Beitrag von florianklachl » Mo Jan 10, 2005 6:19 pm

infinitesimal dünn, aber immer noch größer 0.

den [OATZ] jockeyhut schenk ich nur ungern her, hab was anderes kleineres im auge

Benutzeravatar
version4x
Beiträge: 2531
Registriert: So Dez 05, 2004 1:00 pm
Kontaktdaten:

Beitrag von version4x » Mo Jan 10, 2005 6:19 pm

etwas, was wahrscheinlich eh nicht stimmt:

(x+1)/x*pi*(1+a)^x-(x+1)/x*pi*1^x=V

V...Volumen Bier in km^x
x...Dimensionen
a...Schichtdicke der Bedeckung in km

Benutzeravatar
florianklachl
Beiträge: 5960
Registriert: Sa Nov 13, 2004 1:00 pm
Kontaktdaten:

Beitrag von florianklachl » Mo Jan 10, 2005 6:25 pm

Deine Formel passt fürcht ich nur fürs 3dimensionale
Prinzipiell kann man es aber formelmäßig ausrechnen

Benutzeravatar
version4x
Beiträge: 2531
Registriert: So Dez 05, 2004 1:00 pm
Kontaktdaten:

Beitrag von version4x » Mo Jan 10, 2005 6:26 pm

hab ich mir eh dacht, aber probieren kann mans ja mal ;)

Benutzeravatar
florianklachl
Beiträge: 5960
Registriert: Sa Nov 13, 2004 1:00 pm
Kontaktdaten:

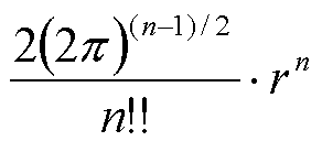
Beitrag von florianklachl » Mo Jan 10, 2005 6:38 pm

das Volumen einer n-dimensionalen Kugel mit Radius r ist
Dateianhänge
formel1.gif

Benutzeravatar
florianklachl
Beiträge: 5960
Registriert: Sa Nov 13, 2004 1:00 pm
Kontaktdaten:

Beitrag von florianklachl » Mo Jan 10, 2005 6:38 pm

, wenn n geradzahlig ist.

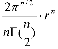
Ist n ungerade, beträgt das Volumen
Dateianhänge
formel2.gif

Benutzeravatar
elfride
Trinker
Beiträge: 324
Registriert: Fr Dez 17, 2004 11:50 am

Beitrag von elfride » Mo Jan 10, 2005 7:09 pm

aber es müsste ja nicht das volumen das ergebnis sein sondern die oberfläche eine n dimensionalen kugel oder?

die oberfläche [m^2] müsste man dann mit dem volumen das eine monolage bier auf einem quadratmeter einnimmt multiplizieren [m^3/m^2]

die einheiten sind natürlich für n=3 und dienen nur zur veranschaulichung dass die auch stimmen würden nach meiner rechnung

Benutzeravatar
florianklachl
Beiträge: 5960
Registriert: Sa Nov 13, 2004 1:00 pm
Kontaktdaten:

Beitrag von florianklachl » Mo Jan 10, 2005 7:15 pm

stimmt, das biervolumen kann man durch multiplikation der oberfläche mit der infinit. Schichtdicke dr ausrechnen. dr ist also quasi die Bier-Flächendichte, ie. das Biervolumen pro Oberflächeneinheit.

Antworten